当前位置:
首页
>
专题
>
行政执法公示专栏
>
事后公开
>
行政许可
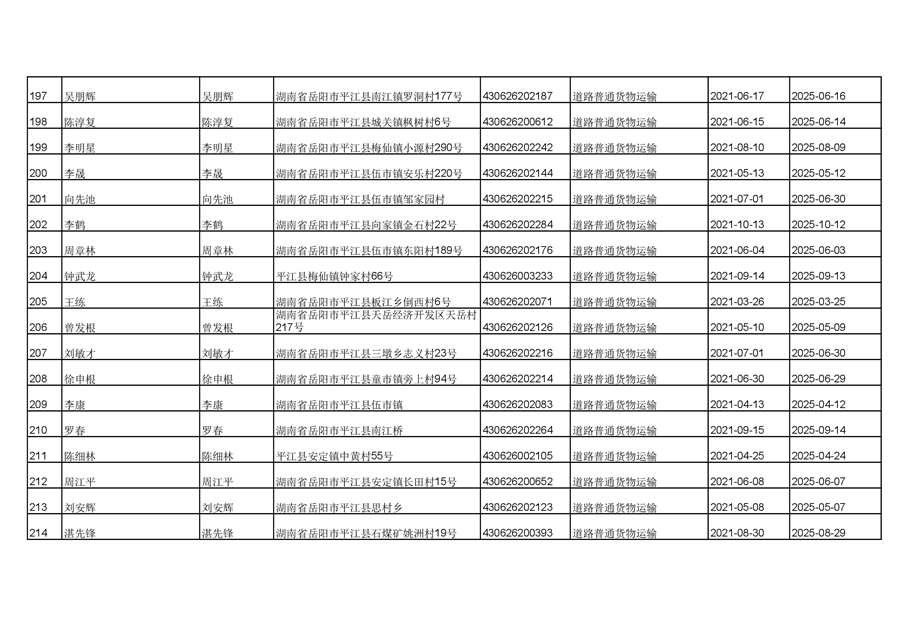
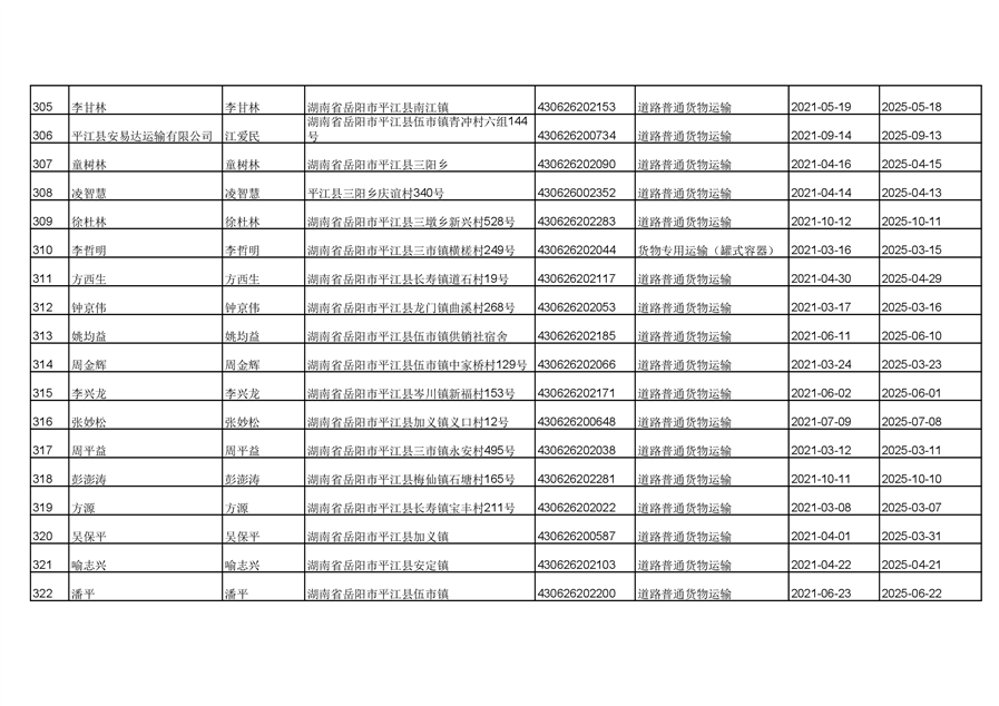
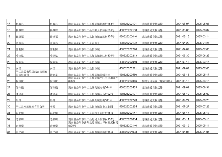
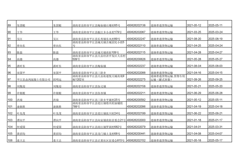
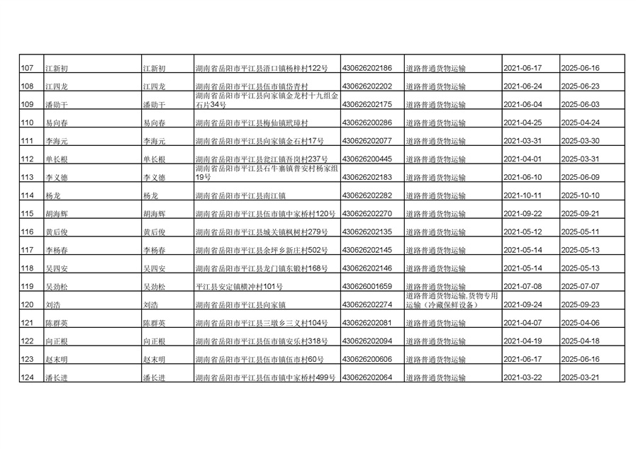
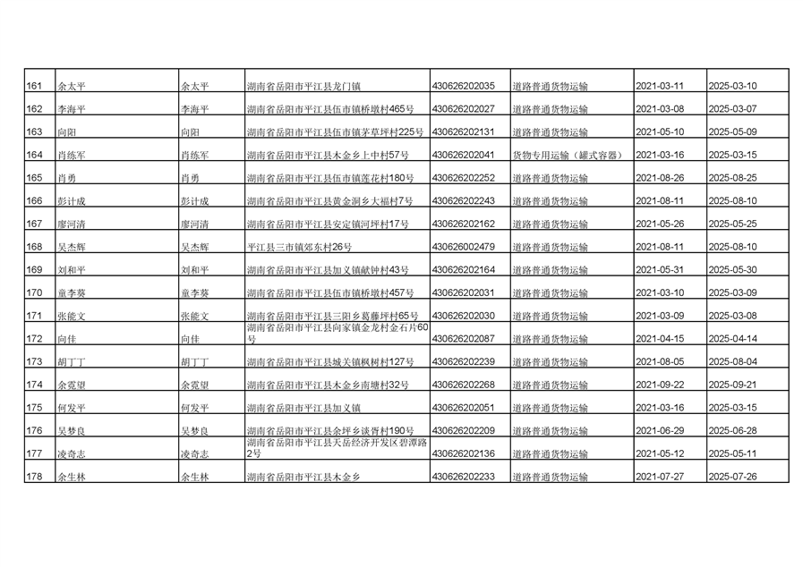
平江县交通运输局行政许可换、发证信息
来源:县交通运输局
2021-10-26 15:18
|
|
|
|