当前位置:
首页
>
政府信息公开
>
乡镇街道
>
石牛寨镇
>
财政信息
索 引 号:109/2020-1758520
发布机构:石牛寨镇
生成日期:2020-03-15 12:19:39.0
公开日期:2020-03-15
公开方式:政府网站
公开范围:全部公开
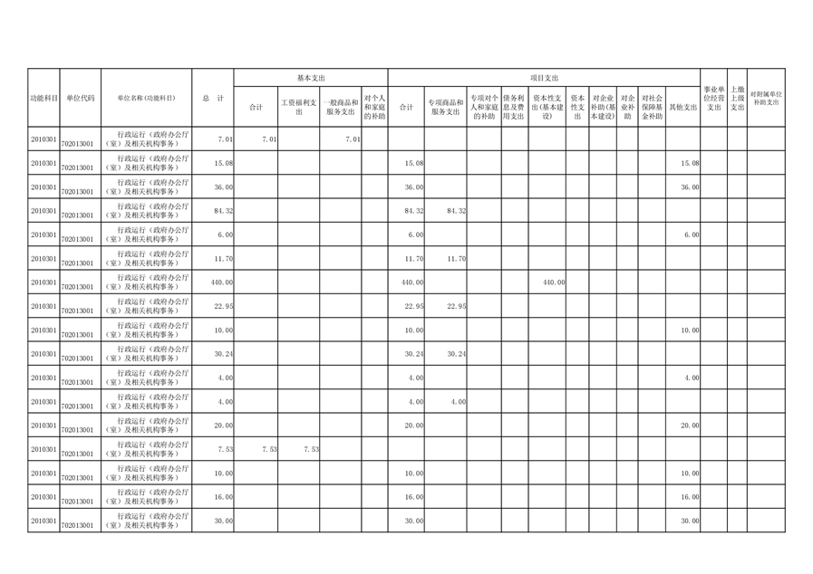
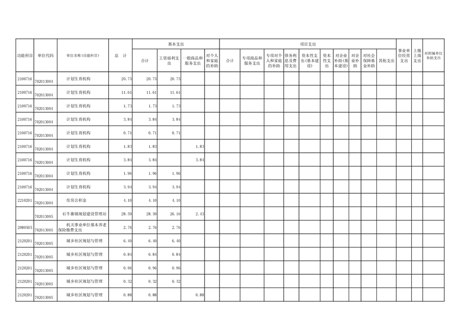
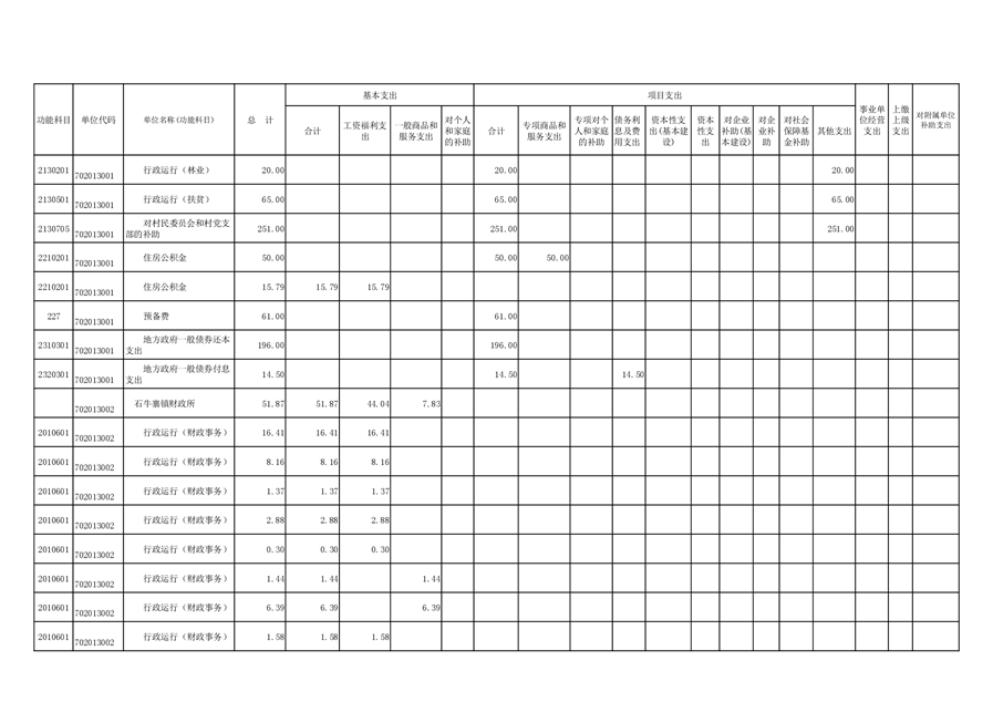
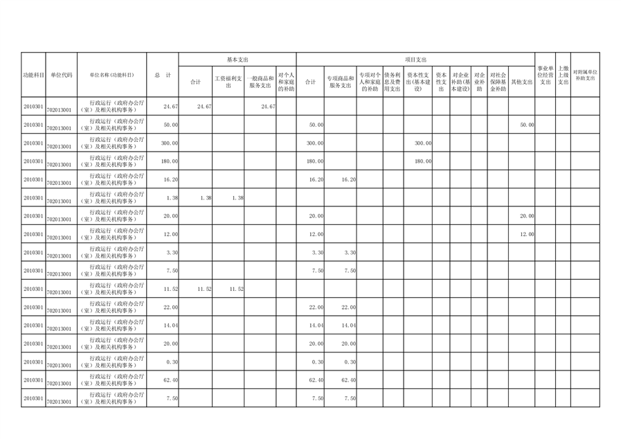
平江县石牛寨镇2020年部门预算公开编报说明
来源:石牛寨镇
2020-03-15 12:19
|
|
|
|