当前位置:
首页
>
政府信息公开
>
乡镇街道
>
长寿镇
>
财政信息
索 引 号:113/2021-1984941
发布机构:长寿镇
生成日期:2021-01-22 17:01:56.0
公开日期:2021-01-22
公开方式:政府网站
公开范围:全部公开
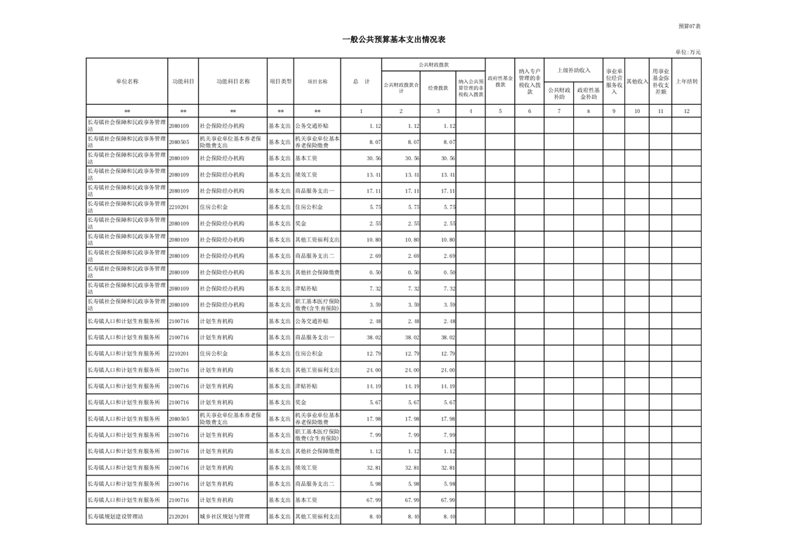
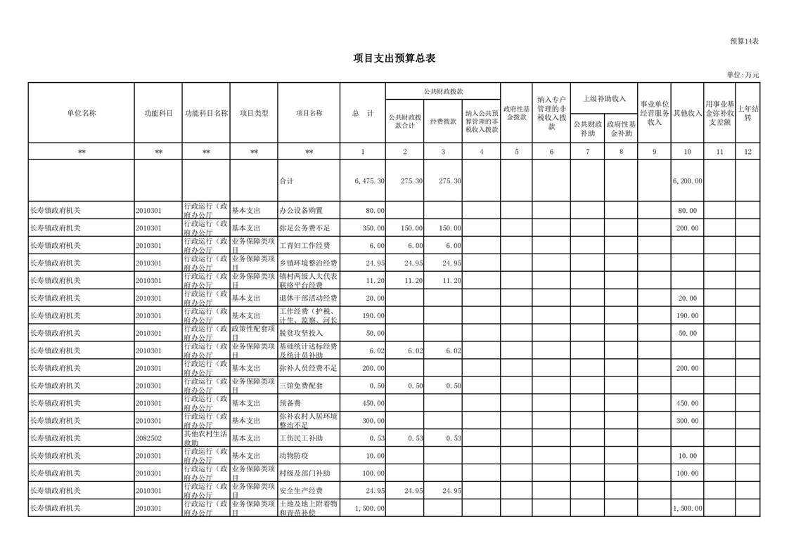
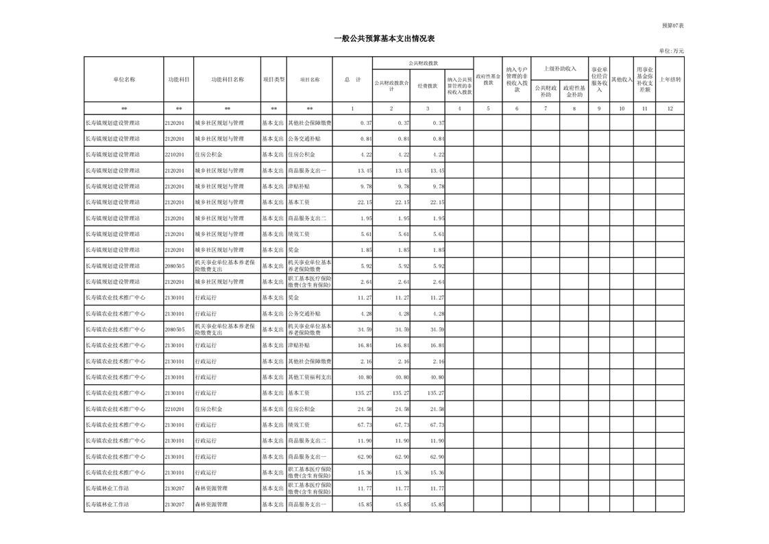
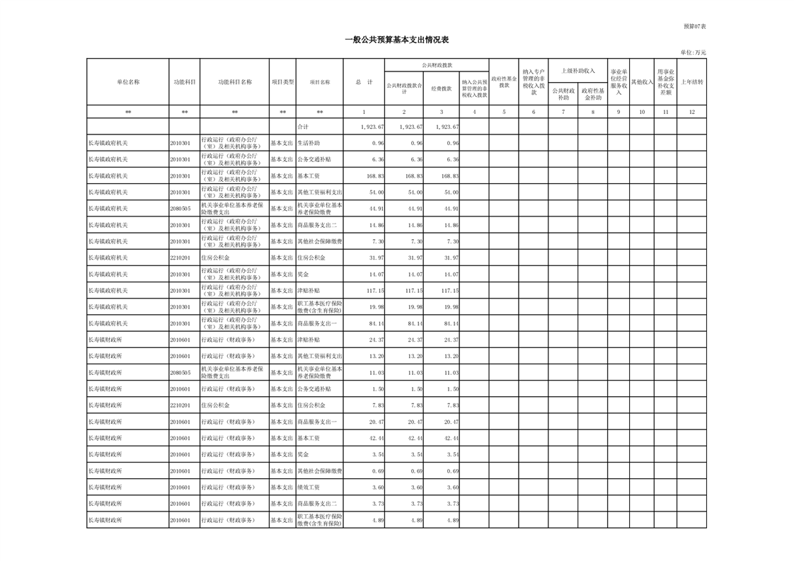
平江县长寿镇2021年部门预算编报说明
来源:长寿镇
2021-01-22 17:01
|
|
|
|