当前位置:
首页
>
政府信息公开
>
县直部门
>
县卫生健康局
>
健康平江
>
卫生监督
索 引 号:19/2021-1809681
发布机构:县卫生健康局
生成日期:2021-03-18 10:05:25.0
公开日期:2021-03-18
公开方式:政府网站
公开范围:全部公开
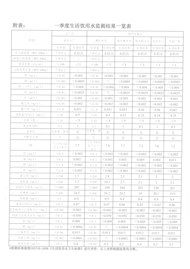
关于平江县城区市政供水第一季度生活饮用水监测情况的报告
来源:县卫生健康局
2021-03-18 10:05
|
|
|
|