当前位置:
首页
>
政府信息公开
>
其他单位
>
县残疾人联合会
>
其他信息
索 引 号:24/2020-1780521
发布机构:县残联
生成日期:2020-12-01 09:50:04.0
公开日期:2020-12-01
公开方式:政府网站
公开范围:全部公开
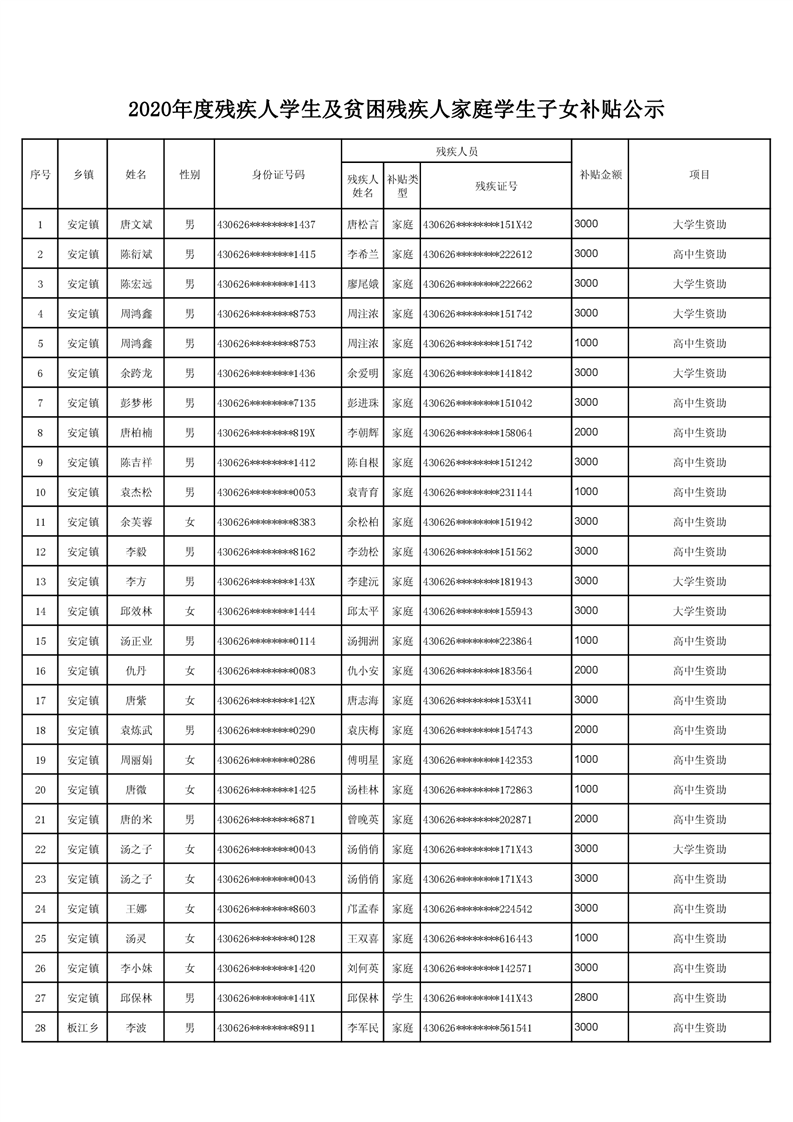
2020年平江县残疾人学生资助公示
来源:县残联
2020-12-01 09:50
|
|
|
|