当前位置:
首页
>
政府信息公开
>
其他单位
>
县残疾人联合会
>
其他信息
索 引 号:24/2022-2002361
发布机构:县残联
生成日期:2022-10-28 10:01:17.0
公开日期:2022-10-28
公开方式:政府网站
公开范围:全部公开
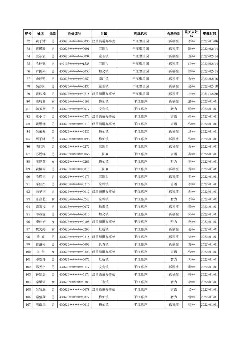
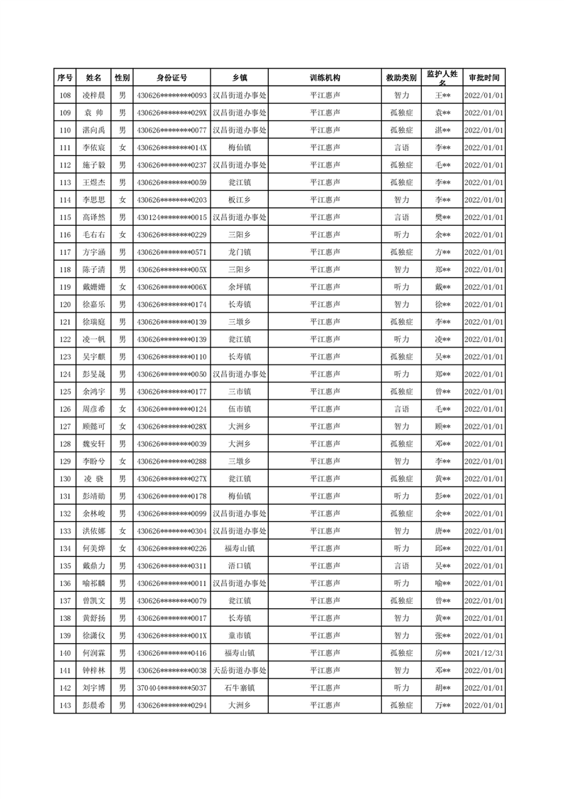
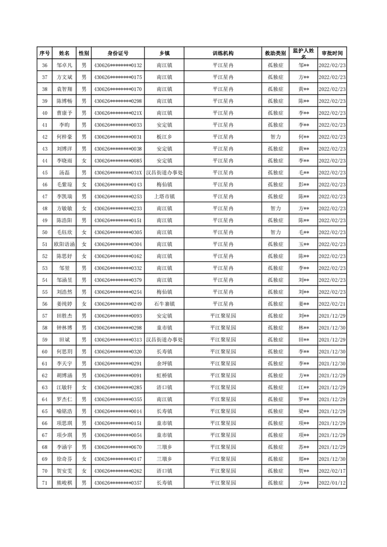
平江县2022年度儿童康复救助实事项目公示
来源:县残联
2022-10-28 10:01
|
|
|
|