当前位置:
首页
>
政府信息公开
>
县直部门
>
县住房和城乡建设局
>
建设项目
>
住房安全保障
索 引 号:73/2025-2328973
发布机构:县住建局
生成日期:2025-11-10 08:12:30.0
公开日期:2025-11-10
公开方式:政府网站
公开范围:全部公开
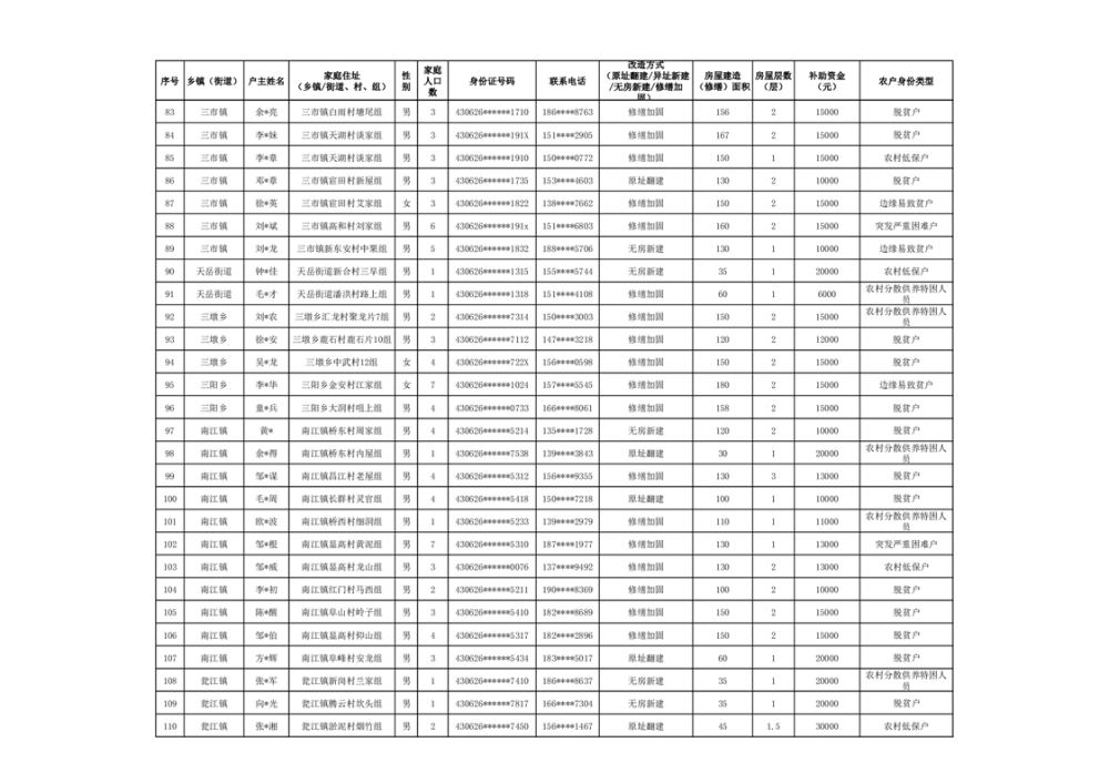
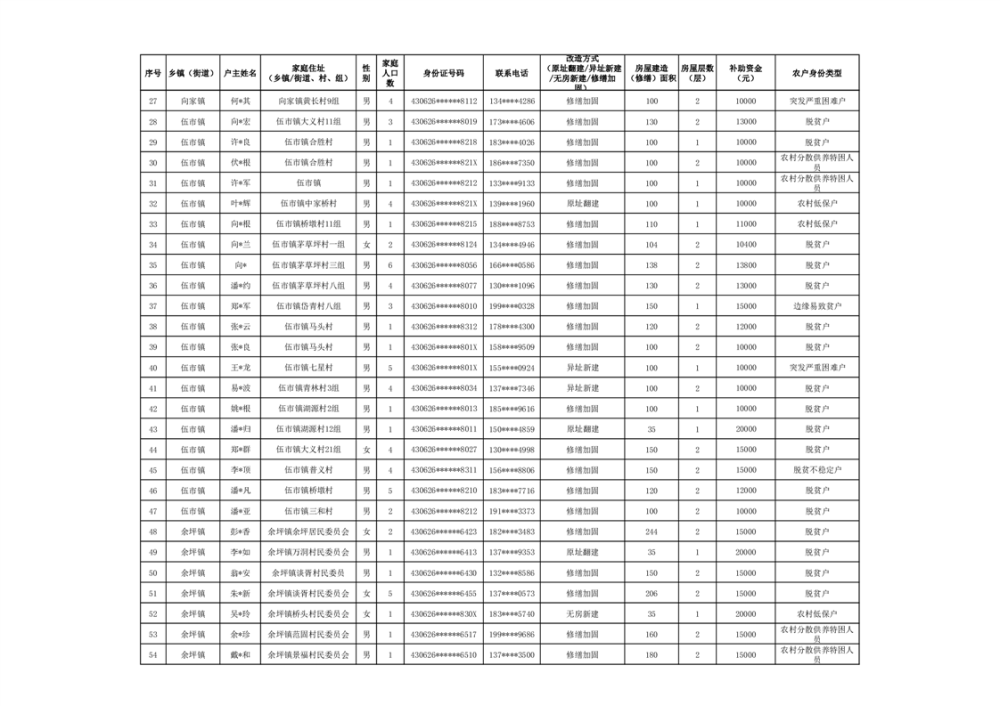
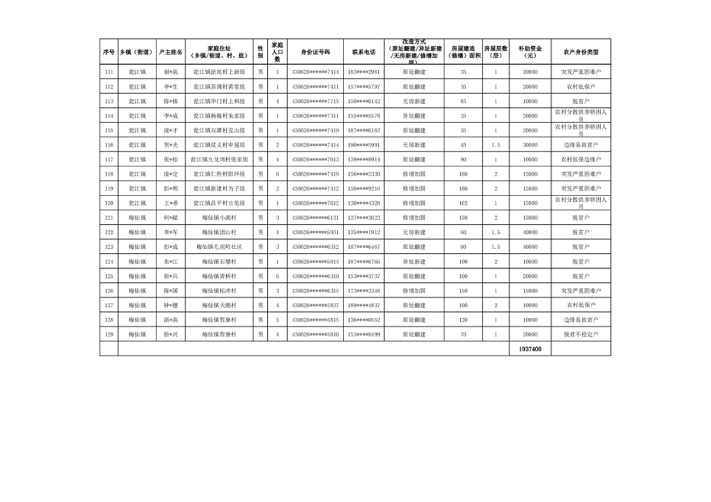
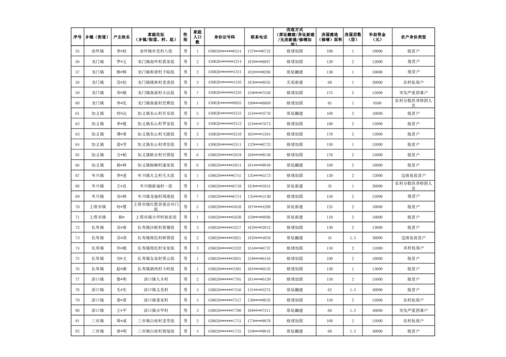
平江县2025年农村危房改造打卡发放花名册
来源:县住建局
2025-11-10 08:12
|
|
|
|