当前位置:
首页
>
政府信息公开
>
县直部门
>
县住房和城乡建设局
>
保障性住房
索 引 号:73/2025-2337065
发布机构:县住建局
生成日期:2025-12-02 11:05:26.0
公开日期:2025-12-02
公开方式:政府网站
公开范围:全部公开
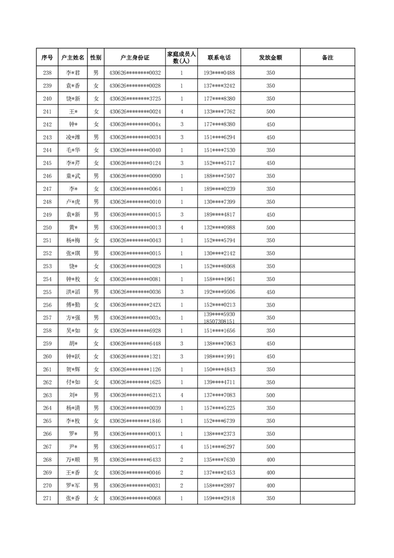
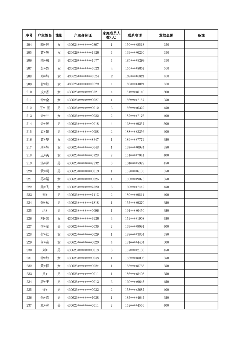
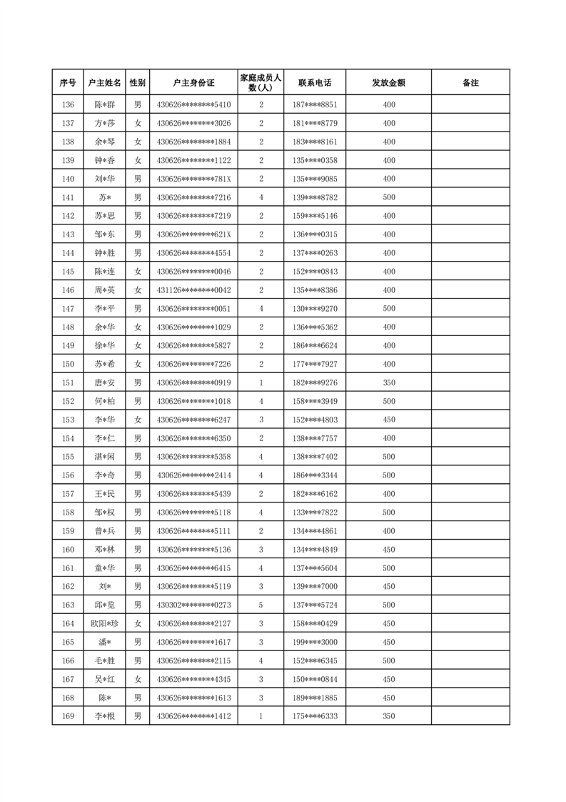
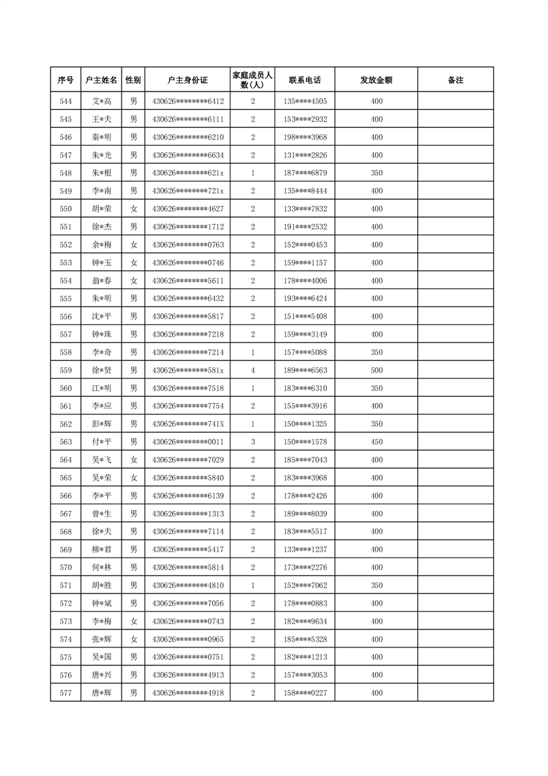
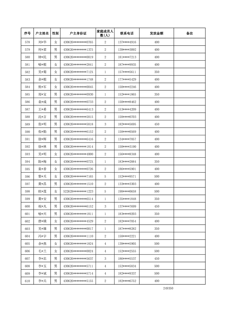
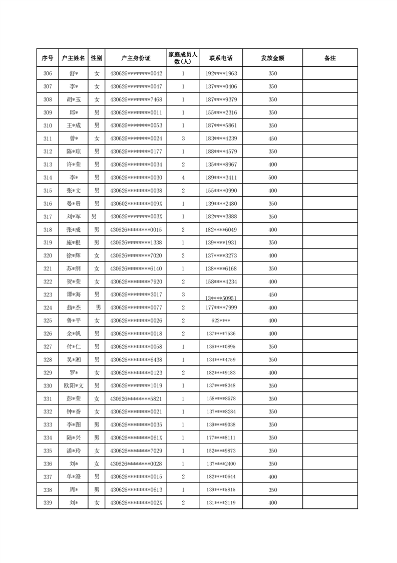
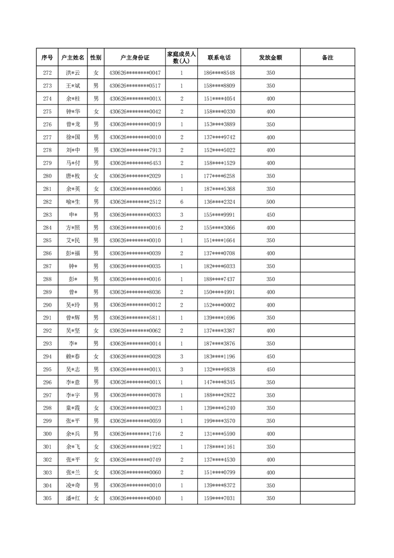
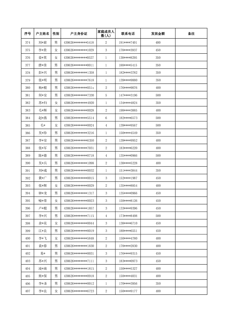
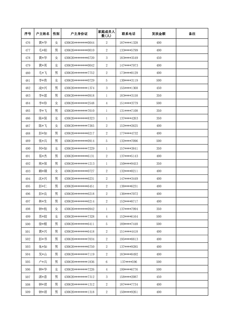
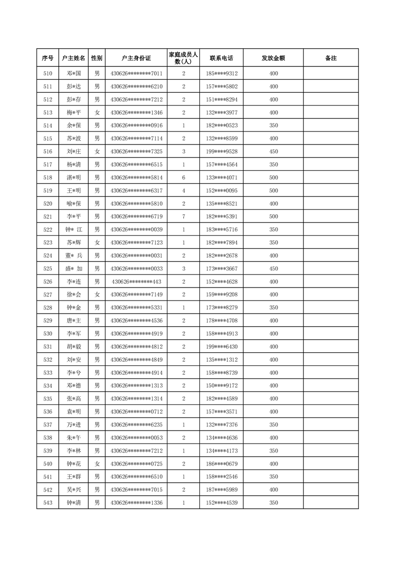
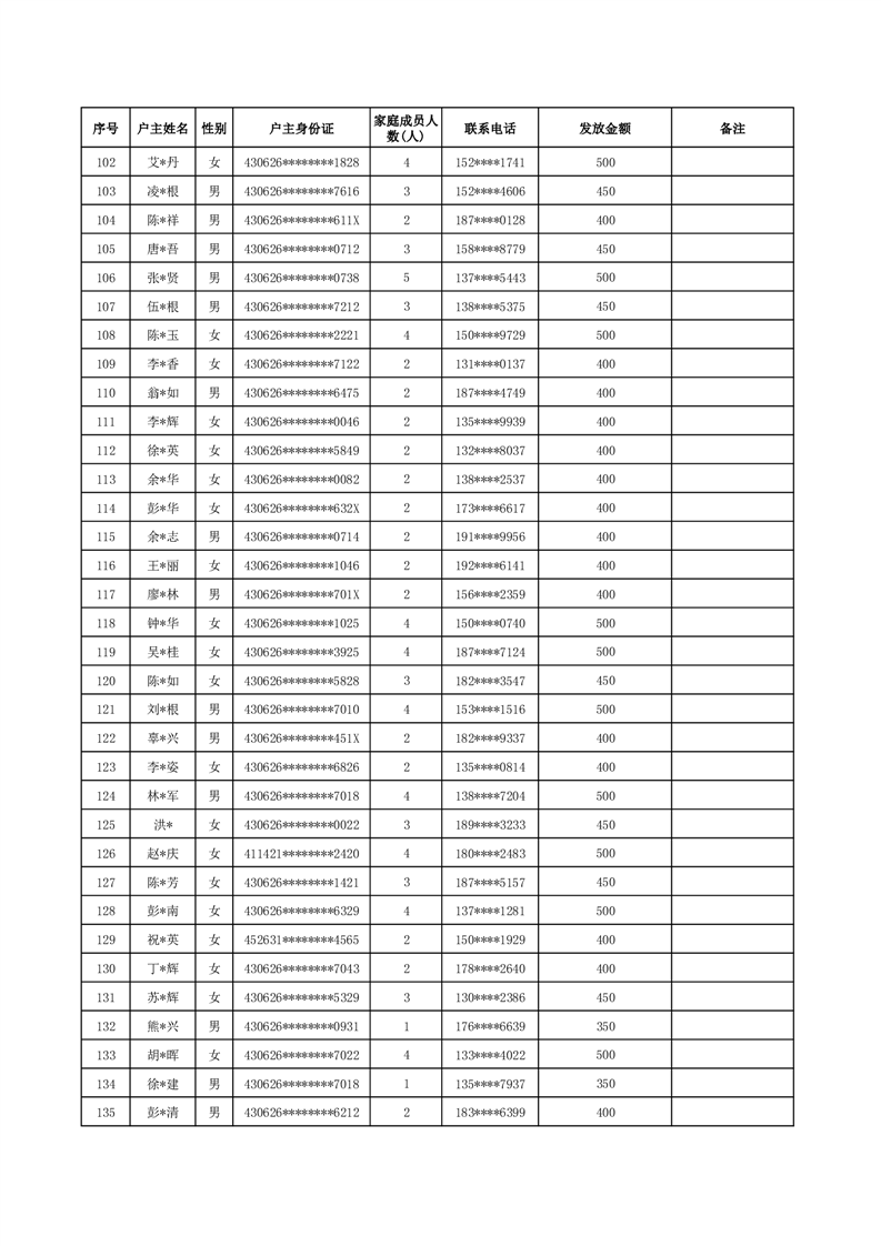
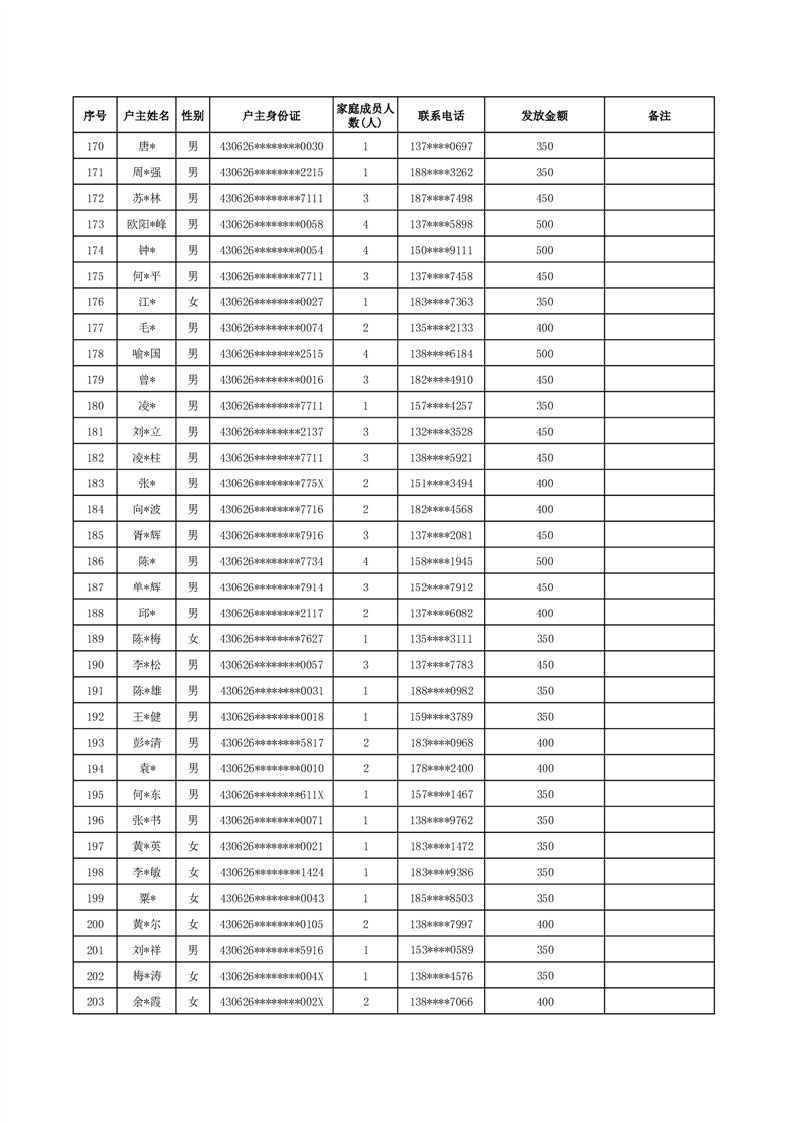
平江县2025年四季度公共租赁住房补贴人员
来源:县住建局
2025-12-02 11:05
|
|
|
|