当前位置:
首页
>
政务公开
>
财政资金
>
财政专项资金
>
农业类
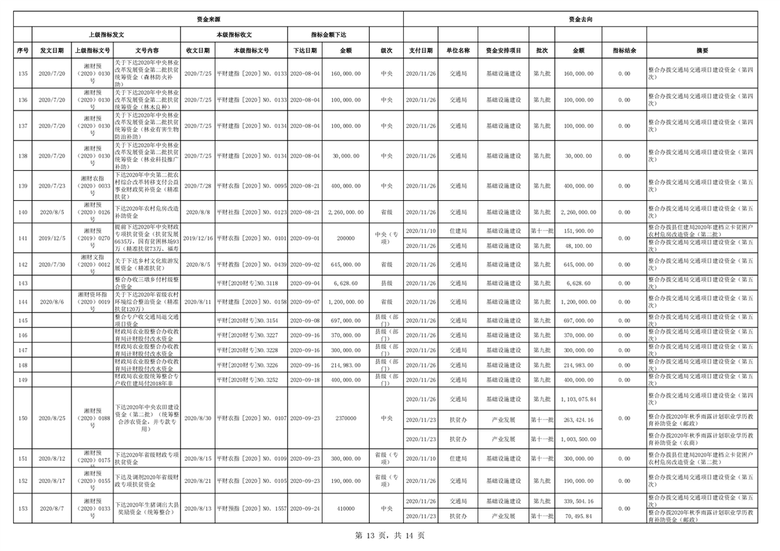
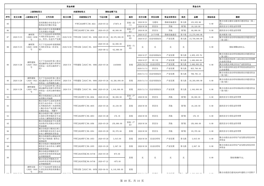
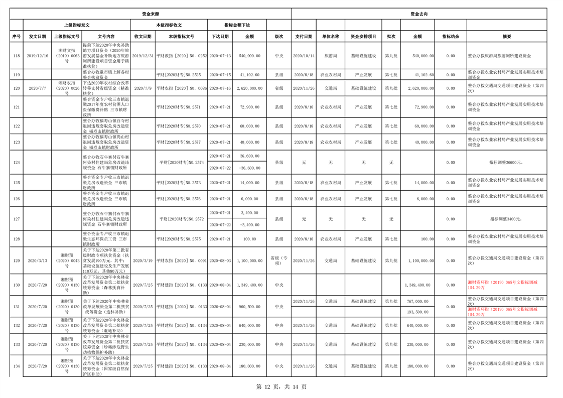
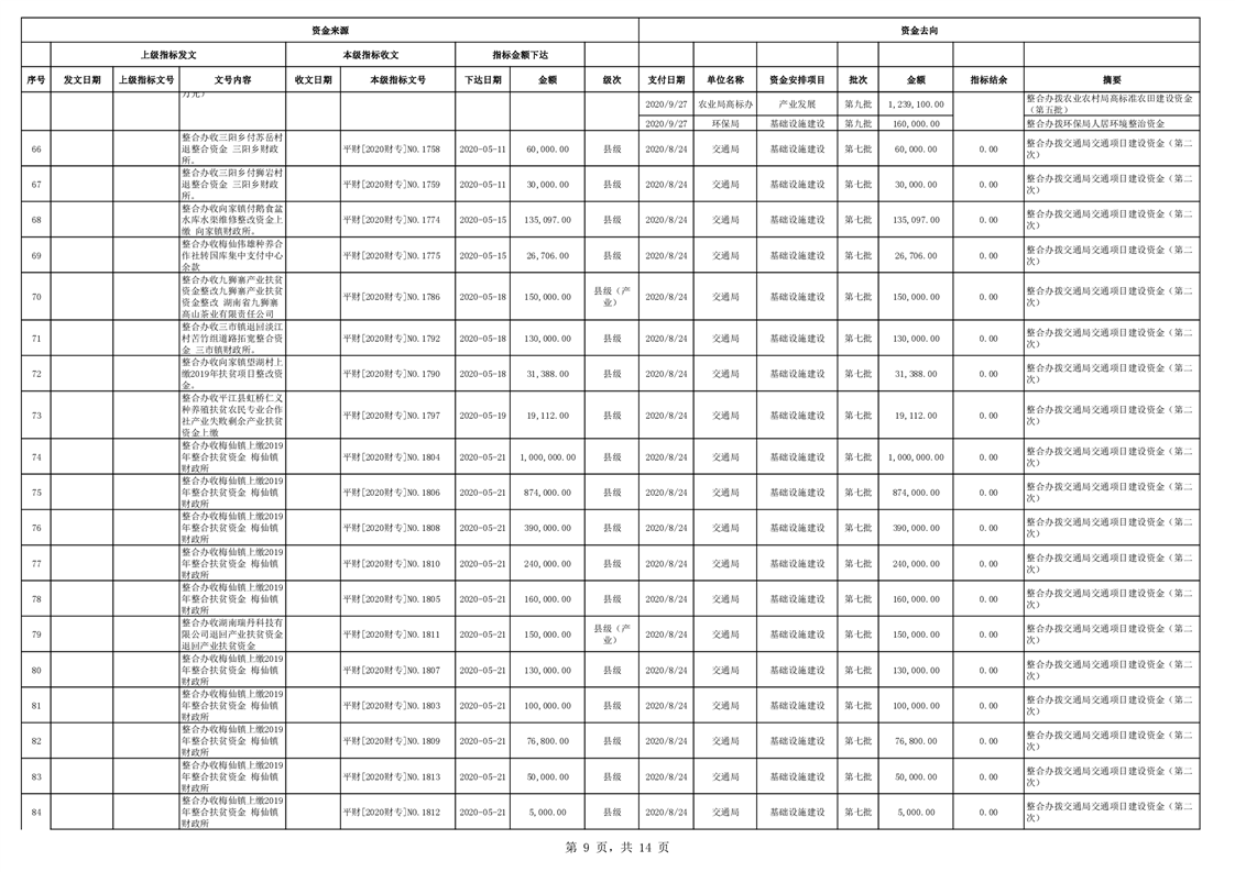
2020年11月统筹整合资金来源及去向台账
来源:县财政局
2020-11-25 21:34
|
|
|
|