当前位置:
首页
>
政务公开
>
财政资金
>
财政专项资金
>
农业类
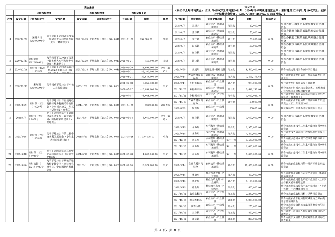
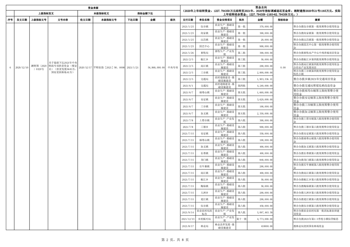
2021年统筹整合使用财政涉农资金指标分配台账
来源:县财政局
2021-12-23 23:47
|
|
|
|