当前位置:
首页
>
政务公开
>
财政资金
>
财政专项资金
>
农业类
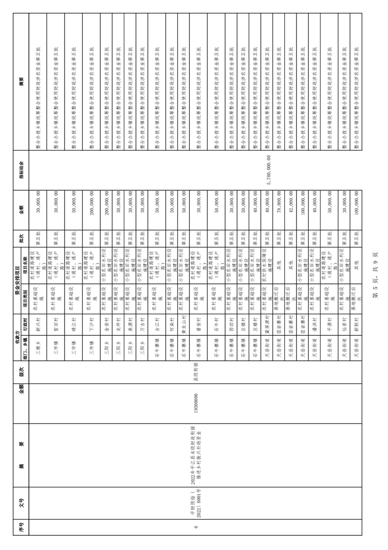
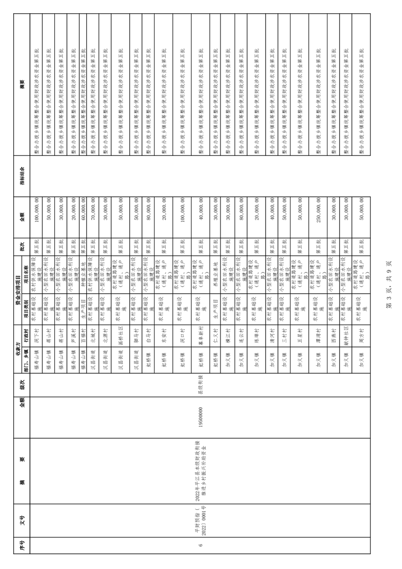
平财农指〔2022〕05号 关于下达2022年度第五批统筹整合使用财政涉农项目资金计划的通知
来源:县财政局
2022-09-28 11:06
|
|
|
|