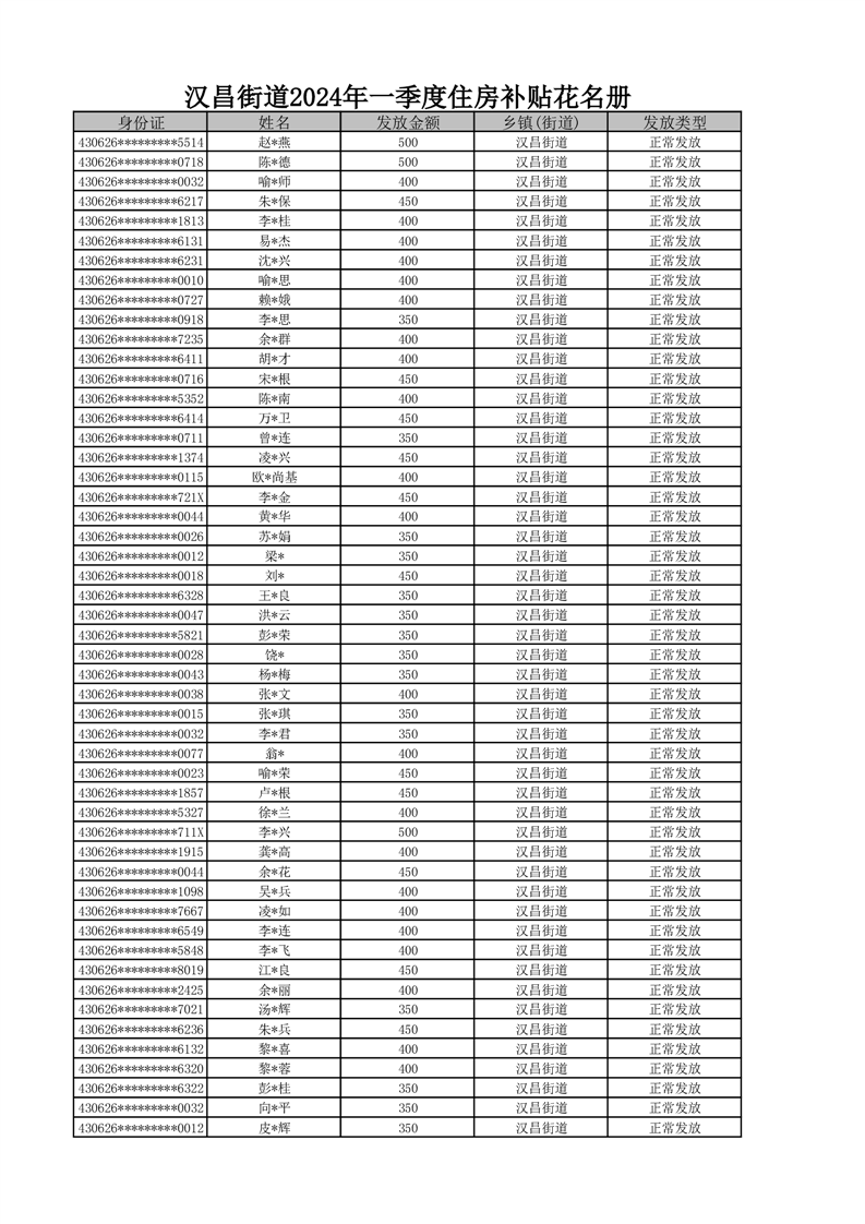
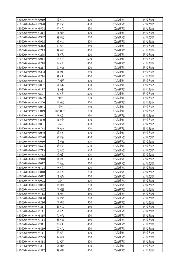
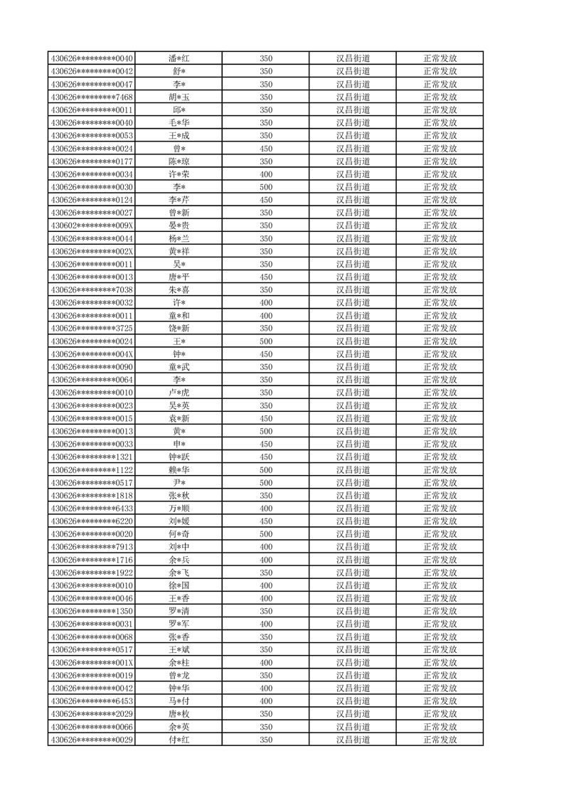
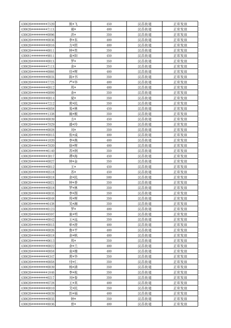
汉昌街道2024年一季度住房补贴花名册
详细信息
| 公开具体内容 |
![]() ![]() ![]() ![]() ![]()
|
||
基本信息
| 所属领域 | 保障性住房 | ||
| 一级事项 | 配后管理 | 二级事项 | 租赁补贴发放 |
| 公开时限 | 信息形成(变更)20个工作日内 | 公开方式 | 主动 |
| 公开依据 | 《经济适用住房管理办法》、《公共租赁住房管理办法》、《住房城乡建设部办公厅关于做好2012年住房保障信息公开工作的通知》、《住房城乡建设部办公厅关于进一步加强住房保障信息公开工作的通知》、《国务院办公厅关于推进公共资源配置领域政府信息公开的意见》 | ||
| 公开主体 | 汉昌街道办事处 | ||
| 公开层级1 | 县级 | 公开渠道和载体 | 政府网站,两微一端 |
| 公开层级2 | 乡、村级 | 公开渠道和载体 | |
- 详细信息
- 基本信息




