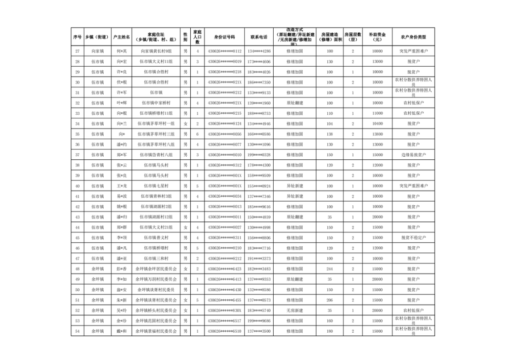
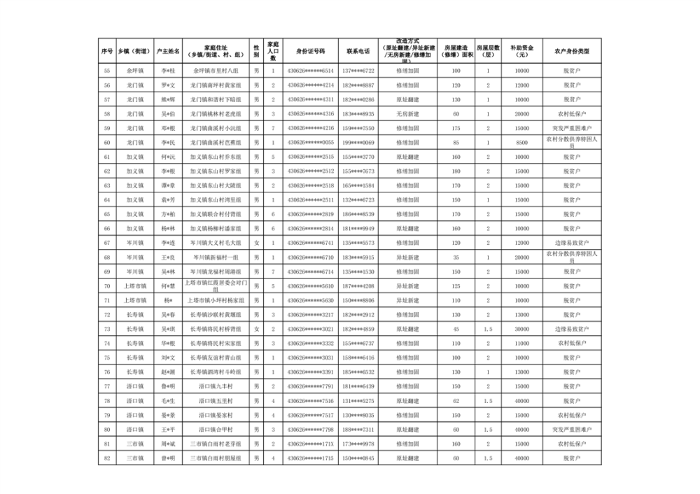
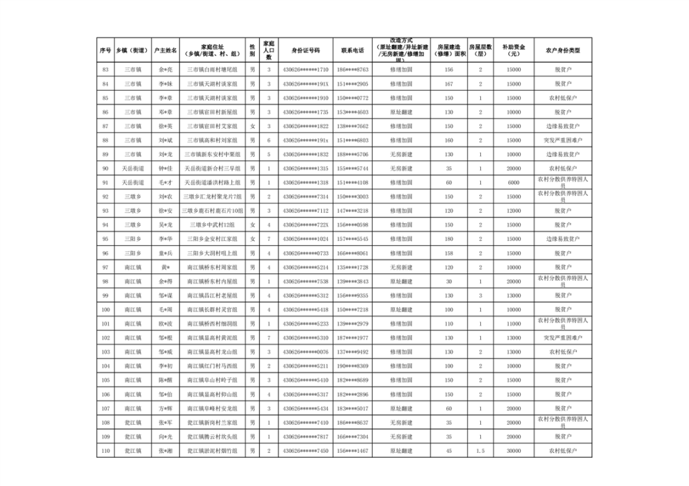
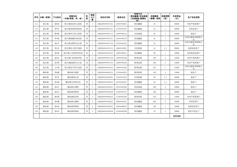
平江县2025年农村危房改造打卡发放花名册
详细信息
| 公开具体内容 |
|
||
基本信息
| 所属领域 | 农村危房改造 | ||
| 一级事项 | 年度任务实施 | 二级事项 | 年度任务执行情况 |
| 公开时限 | 信息形成之日起20个工作日内 | 公开方式 | 主动 |
| 公开依据 | 《关于全面推进政务公开工作的意见》及其实施细则 | ||
| 公开主体 | 平江县住房和城乡建设局 | ||
| 公开层级1 | 县级 | 公开渠道和载体 | 公示栏等平台和办事大厅,政府网站 |
| 公开层级2 | 乡、村级 | 公开渠道和载体 | 便民服务窗口等场所 |
- 详细信息
- 基本信息




