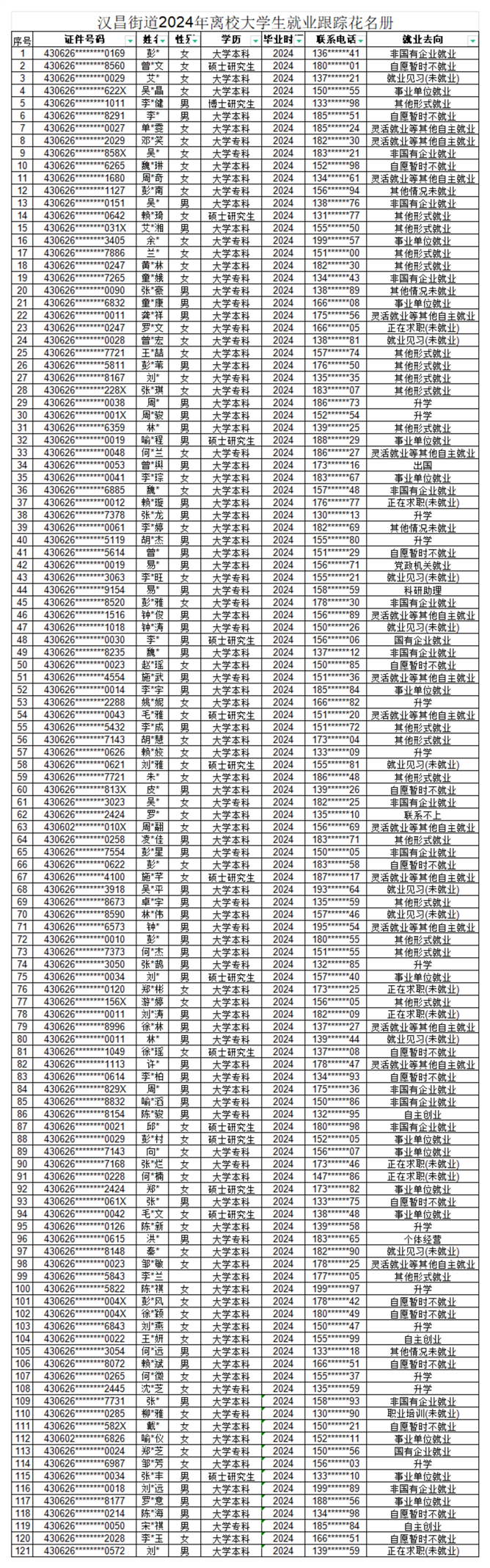
汉昌街道2024年离校大学生就业跟踪花名册
详细信息
| 公开具体内容 |
|
||
基本信息
| 所属领域 | 就业创业 | ||
| 一级事项 | 就业失业登记 | 二级事项 | 就业登记 |
| 公开时限 | 公开事项信息形成或变更之日起20个工作日内公开 | 公开方式 | 主动 |
| 公开依据 | 《政府信息公开条例》、《就业促进法》、《人力资源市场暂行条例》 | ||
| 公开主体 | 汉昌街道办事处 | ||
| 公开层级1 | 县级 | 公开渠道和载体 | 政府网站,政务服务中心,基层公共服务平台 |
| 公开层级2 | 乡、村级 | 公开渠道和载体 | 政府网站,政务服务中心,基层公共服务平台 |
- 详细信息
- 基本信息